| Total Cases | Total Deaths | |
|---|---|---|
| Global | 606,539,159 | 6,507,096 |
| U.S | 95,224,801 | 1,050,290 |





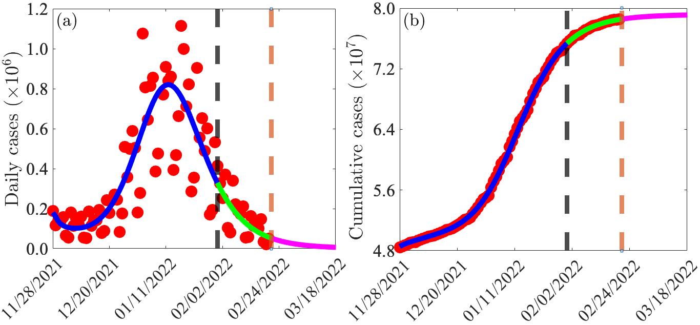
The world is currently facing a devastating pandemic of a novel coronavirus (COVID-19), which started as an outbreak of pneumonia of unknown cause in the Wuhan city of China in December of 2019. Within days and weeks, the COVID-19 pandemic has spread to over 210 countries. By May 15, 2020, COVID-19 has caused over 4.5 million confirmed cases and 307,000 fatalities globally. China was the original epicenter of COVID-19, followed by Italy and now the United States (with the state of New York shouldering the overwhelming brunt of the COVID-19 burden). As of May 15, 2020, the US has recorded over 1.4 million confirmed cases and 87,000 deaths. The first documented confirmed case of COVID-19 in the US was reported on January 20, 2020. This was linked to a resident who has returned from a trip to Wuhan city. Although recent modeling data showed that COVID-19 was already spreading in the state of New York by late January 2020, the "first case” (i.e., index case) in the state was officially documented on March 1, 2020. This was traced to a woman who traveled to New York city from Iran.
The dates for the official documentation of the index cases for New York state and the entire US were given to illustrate an important point, namely the exponential nature of the spread of the COVID-19 pandemic during the early stages of its outbreak. Starting with the officially documented "index case” on March 1, 2020, the state of New York recorded nearly 70,000 by the end of March 2020 (with about 1000 deaths). Further, the number of confirmed cases skyrocketed to over 300,000 by the end of April 2020 (and 17,000 deaths). These numbers clearly illustrate the exponential spread of the pandemic! We will come back to this later. Most of the COVID-19 related deaths and severe cases occur in the elderly (65 years of age and older) and people with co-morbidities (such as people with diabetes, hypertension, obesity, kidney disease and other conditions that suppress or compromise the immune system, such as people living with HIV/AIDS). Younger people and frontline healthcare workers are also at high risk of acquiring COVID-19 infection. This article introduces some of the basic principles associated with the use of mathematics to understand the transmission dynamics and control of infectious diseases, such as COVID-19, in human populations.
Coronaviruses (CoV) represent a major group of RNA viruses that cause diseases in mammals and birds. Human coronaviruses (HCoV) represent a major group of coronaviruses associated with multiple respiratory diseases of varying severity, including common cold, pneumonia and bronchiolitis. While the mild form of coronavirus infections causes diseases such as the common cold, the lethal form can cause diseases like the severe acute respiratory syndrome (SARS-CoV), middle eastern respiratory syndrome (MERS) and COVID-19 (caused by SARS-CoV-2). The name "coronavirus” is derived from the Latin word "Corona” for crown or wreath. It signifies "the characteristic appearance of the virions (the infective form of the virus), which have a fringe of large, bulbous surface projections creating an image reminiscent of the solar corona or halo”. In other words, "coronaviruses” are the crown-jewel of all viruses here on earth.
Zoonotic scientists estimate that there are millions of viruses in the wild, and humans are always vulnerable to mutations in these zoonotic viruses that could trigger pandemics. HCoVs, rated among the most rapidly evolving viruses due their genetic makeup (notably due to their high genomic nucleotide substitution rates and recombination), have their origins in bats and rodents. Data shows that the evolution of HCoVs has been expedited in recent years due to urbanization and poultry farming (resulting in the frequent mixing of species and facilitating the crossing of species barrier and genomic recombination of these viruses).
Six known human coronaviruses have been identified in recent years. These include the 2002/2003 pandemic of severe acute respiratory syndrome (SARS-CoV), a highly transmissible disease which started in the Guandong province in China and spread to 29 countries (causing 8,000 cases and 744 fatalities globally), and the 2012 pandemic of the middle eastern respiratory syndrome (MERS-CoV), which started out of Saudi Arabia and spread to 27 countries (causing 2,519 cases and 866 deaths by January 2020). Over 80% of MERS-CoV occurred in Saudi Arabia. Palm civet and bats were implicated as the natural reservoirs of SARS-CoV (which has a mortality rate of 10%). MERS-CoV, which was believed to have likely originated from bats, and then likely spread from infected dromedary camels to humans, has a mortality rate of about 35%. Both SARS-CoV and MERS-CoV have similar clinical symptoms, namely atypical pneumonia marked by fever, headache and subsequent onset of respiratory symptoms (such as cough and pneumonia), which may later develop into life-threatening respiratory failure and acute respiratory distress syndrome.